Postępowania bez stosowania ustawy Prawo Zamówień Publicznych
Postępowania w trybie ustawy Prawo Zamówień Publicznych
Wstępne konsultacje rynkowe
Plan postępowań
Komunikacja z zamawiającym za pośrednictwem Portalu, w tym złożenie oferty, jest możliwa tylko dla zarejestrowanych użytkowników.
Zaloguj
Zarejestruj
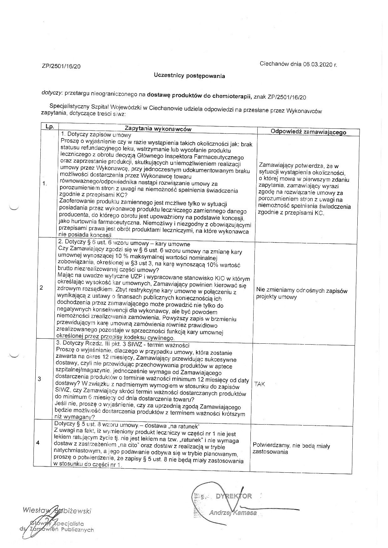
Postępowanie ZP/2501/16/20
Z dnia: 2020-03-02, Termin składania ofert: 2020-03-12 10:00
Dostawa produktów do chemioterapii
Części postępowania:
1. Doksorubicyna liposomalna
2. Pembrolizumab
3. Xylometazolin
Załączniki:
1 . Ogłoszenie o zamówieniu.docx
(Z dnia: 2020-03-02)
2 . SIWZ.doc
(Z dnia: 2020-03-02)
3 . Załącznik nr 1- formularz ofertowy.docx
(Z dnia: 2020-03-02)
4 . Załącznik nr 1a - oświadczenie wstępne.pdf
(Z dnia: 2020-03-02)
5 . Załącznik nr 2- Zestawienie asortymentowo- wartościowe.xlsx
(Z dnia: 2020-03-02)
6 . Załącznik nr 4 - informacja w sprawie grupy kapitałowej.pdf
(Z dnia: 2020-03-02)
7 . instrukcja oferowania elektronicznego.doc
(Z dnia: 2020-03-02)
8 . Wyjaśnienia.pdf
(Z dnia: 2020-03-05)
9 . Wyjaśnienia.jpg
(Z dnia: 2020-03-09)
10 . Informacja z otwarcia ofert.docx
(Z dnia: 2020-03-12)
11 . Zawiadomienie o wyborze ofert.docx
(Z dnia: 2020-03-13)
Zaloguj się do aplikacji
Zarejestruj
-
Resetowanie hasła